f
title
ศูนย์สร้างทางหล่มสัก
Lomsak Road Construction Center
วิสัยทัศน์ : องค์กรชั้นนำในการก่อสร้างทางที่มีคุณภาพได้มาตรฐาน เป็นที่พึงพอใจแก่ผู้ใช้ทางและเป็นแหล่งเรียนรู้ด้านวิศวกรรมงานทาง
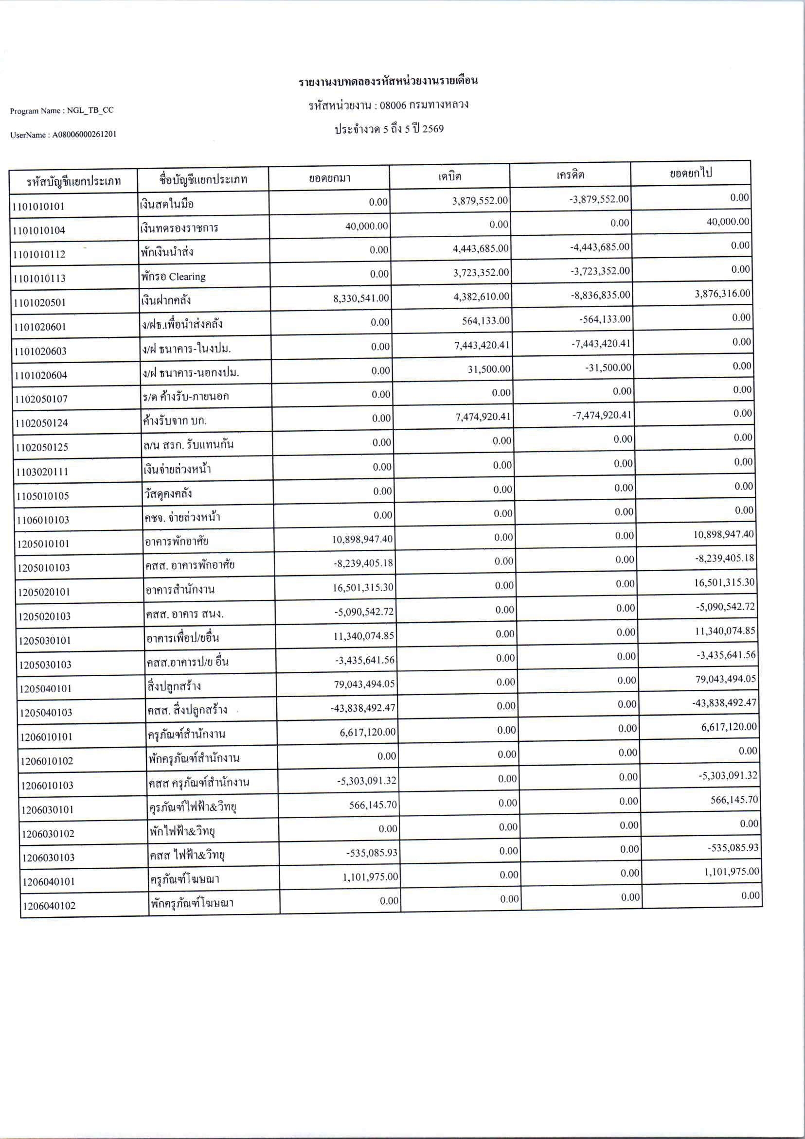
ประกาศเปิดเผยงบทดลองประจำเดือน กุมภาพันธ์ 2569 ปีงบประมาณ 2569
ลงวันที่ 05/03/2569

ประกาศเปิดเผยงบทดลองประจำเดือน กุมภาพันธ์ 2569 ปีงบประมาณ 2569 ตามหนังสือกรมบัญชีกลาง ที่ กค 0410.3 / ว 6 ลงวันที่ 10 มกราคม 2560 และ ที่ กค 0410.3/ ว 38 ลงวันที่ 8 กุมภาพันธ์ 2560  ได้กำหนดเกณฑ์การประเมินผลฯ การปฏิบัติงานด้านบัญชีของส่วนราชการประจำปีงบประมาณ พ.ศ.2560 ไว 4 เรื่อง 1.ความถูกต้อง 2.ความโปร่งใส 3.ความรับผิดชอบ 4.ความมีประสิทธิผล

เอกสารดาวน์โหลด

คำอธิบาย จำนวนดาวน์โหลด ดาวน์โหลด
ประกาศเปิดเผยงบทดลองประจำเดือน กุมภาพันธ์ 2569 ปีงบประมาณ 2569 ตามหนังสือกรมบัญชีกลาง ที่ กค 0410.3 / ว 6 ลงวันที่ 10 มกราคม 2560 และ ที่ กค 0410.3/ ว 38 ลงวันที่ 8 กุมภาพันธ์ 2560 ได้กำหนดเกณฑ์การประเมินผลฯ การปฏิบัติงานด้านบัญชีของส่วนราชการประจำปีงบประมาณ พ.ศ.2560 ไว 4 เรื่อง 1.ความถูกต้อง 2.ความโปร่งใส 3.ความรับผิดชอบ 4.ความมีประสิทธิผล 0 ดาวน์โหลด

'